Login Register
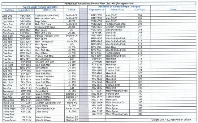
Gallery Vehicle Fleet Documents. Portsmouth Ambulance Service Vehicle Fleet 1974, Amalgamation.
Advanced Search
Print on PhotoWorks.com View Slideshow (Fullscreen)

Vehicle Fleet Documents.

1. Vehicle... 2. Portsmouth ... 3. Portsmouth ... 4. Portsmouth ... 5. Portsmouth ... 6. Call Sign...

Portsmouth Ambulance Service Vehicle Fleet 1974, Amalgamation.

Click on image to magnify.

Date: 08/17/2007
Size:
Full size: 2049x1278
nextlast
first previous
Portsmouth Ambulance Service Vehicle Fleet 1974, Amalgamation.
 
 
nextlast
first previous
Powered by Gallery v2.3